Saturation analysis

Published

November 15, 2025

Figure 1: Saturation plot by run for # of clonotypes
Figure 2: Saturation plot by run for overlap percentage for clonotypes assembled with subsampled and all sequences
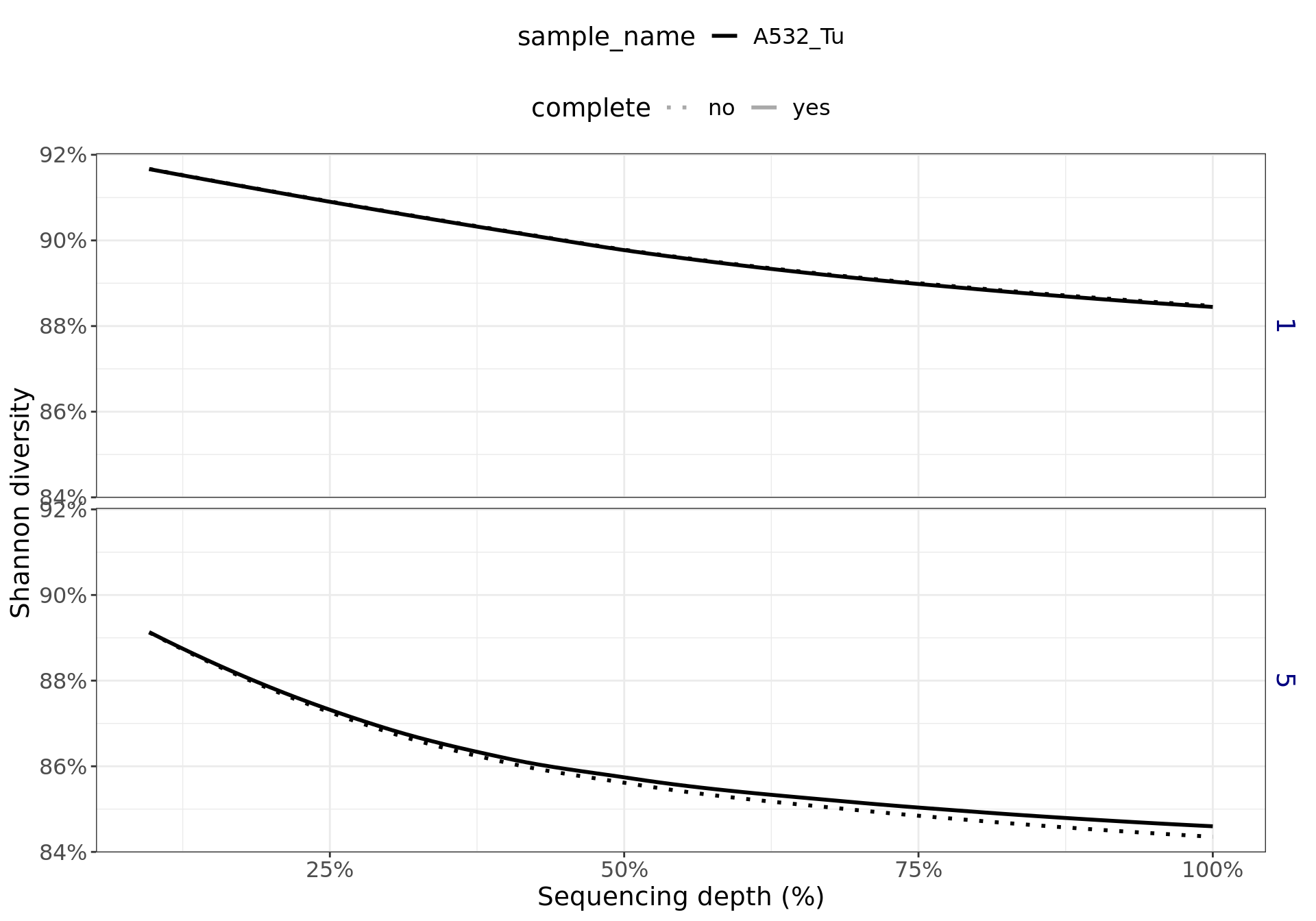
Figure 3: Saturation plot by run for Shannon diversity
Figure 4: Saturation plot by run for D50 index

Appendix

─ Session info ───────────────────────────────────────────────────────────────
 setting  value
 version  R version 4.5.1 (2025-06-13)
 os       Ubuntu 20.04.6 LTS
 system   x86_64, linux-gnu
 ui       X11
 language (EN)
 collate  en_US.UTF-8
 ctype    en_US.UTF-8
 tz       UTC
 date     2025-11-15
 pandoc   2.5 @ /usr/bin/ (via rmarkdown)
 quarto   1.4.549

─ Packages ───────────────────────────────────────────────────────────────────
 package      * version date (UTC) lib source
 circlize     * 0.4.16  2024-02-20 [2] RSPM (R 4.3.0)
 ComplexUpset * 1.3.3   2021-12-11 [2] RSPM (R 4.2.0)
 dplyr        * 1.1.4   2023-11-17 [1] CRAN (R 4.5.1)
 forcats      * 1.0.0   2023-01-29 [2] RSPM (R 4.2.0)
 ggplot2      * 3.4.4   2023-10-12 [1] CRAN (R 4.5.1)
 ggridges     * 0.5.6   2024-01-23 [2] RSPM (R 4.3.0)
 ggthemes     * 5.1.0   2024-02-10 [2] RSPM (R 4.3.0)
 lubridate    * 1.9.4   2024-12-08 [2] RSPM (R 4.4.0)
 magrittr     * 2.0.4   2025-09-12 [1] CRAN (R 4.5.1)
 Polychrome   * 1.5.4   2025-04-06 [2] RSPM (R 4.4.0)
 purrr        * 1.0.4   2025-02-05 [2] RSPM (R 4.4.0)
 readr        * 2.1.5   2024-01-10 [2] RSPM (R 4.3.0)
 sessioninfo  * 1.2.3   2025-02-05 [2] RSPM (R 4.4.0)
 stringr      * 1.6.0   2025-11-04 [1] CRAN (R 4.5.1)
 tibble       * 3.3.0   2025-06-08 [2] RSPM (R 4.5.0)
 tidyr        * 1.3.1   2024-01-24 [2] RSPM (R 4.3.0)
 tidyverse    * 2.0.0   2023-02-22 [2] RSPM (R 4.2.0)
 yaml         * 2.3.10  2024-07-26 [2] RSPM (R 4.4.0)

 [1] /usr/local/lib/R/site-library
 [2] /usr/lib/R/site-library
 [3] /usr/lib/R/library
 * ── Packages attached to the search path.

──────────────────────────────────────────────────────────────────────────────